This website requires JavaScript.
Explore
Help
Register
Sign In
personal_interest_mirrors
/
Quantum-Computation-course-Basel
Watch
1
Star
0
Fork
0
You've already forked Quantum-Computation-course-Basel
mirror of
https://github.com/quantumjim/Quantum-Computation-course-Basel.git
synced
2025-11-13 09:54:25 +01:00
Code
Issues
Actions
Packages
Projects
Releases
Wiki
Activity
Quantum-Computation-course-...
/
exercises_2022
/
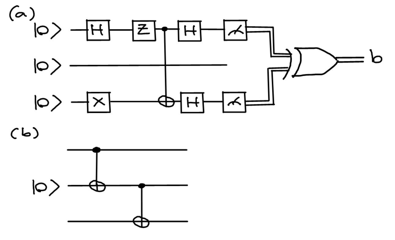
circuits.png
James Wootton
1aa22e4371
update for 2023
2023-09-13 17:26:04 +02:00
117 KiB
1292x786px
Raw
History